近日,我院青年教师徐笑娟博士在国际权威期刊《Composite Structures》上发表复合材料涡流检测的最新研究成果。《Composite Structures》(中科院大类一区Top期刊,影响因子6.603)是复合材料研究领域最重要的期刊之一,旨在报道复合材料结构设计、制造与应用研究的最新成果。我校为论文第一单位,徐笑娟博士为论文第一作者和通讯作者,东京工业大学颜逾越研究员、南京航空航天大学裘进浩教授为共同作者。研究工作得到了安徽省自然科学基金、安徽省高校自然科学研究项目的资助。



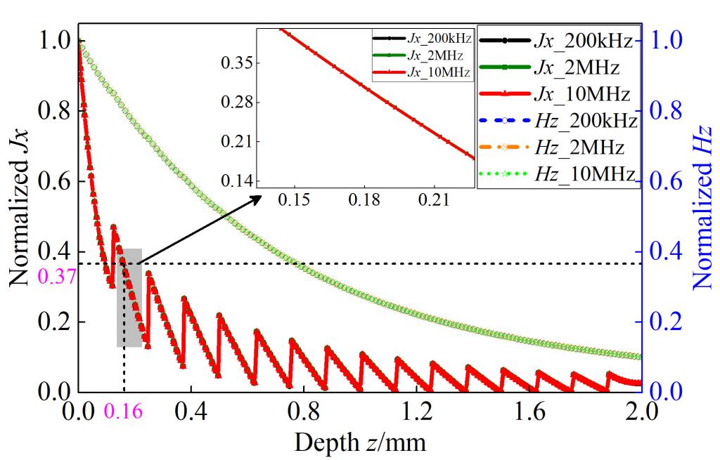
(电磁场分量在碳材料(左)、CFRP单向板(中)和CFRP正交板(右)厚度方向的衰减)



(电流密度|J|在碳材料(左)、CFRP单向板(中)和CFRP正交板(右)x-y面内的分布情况)



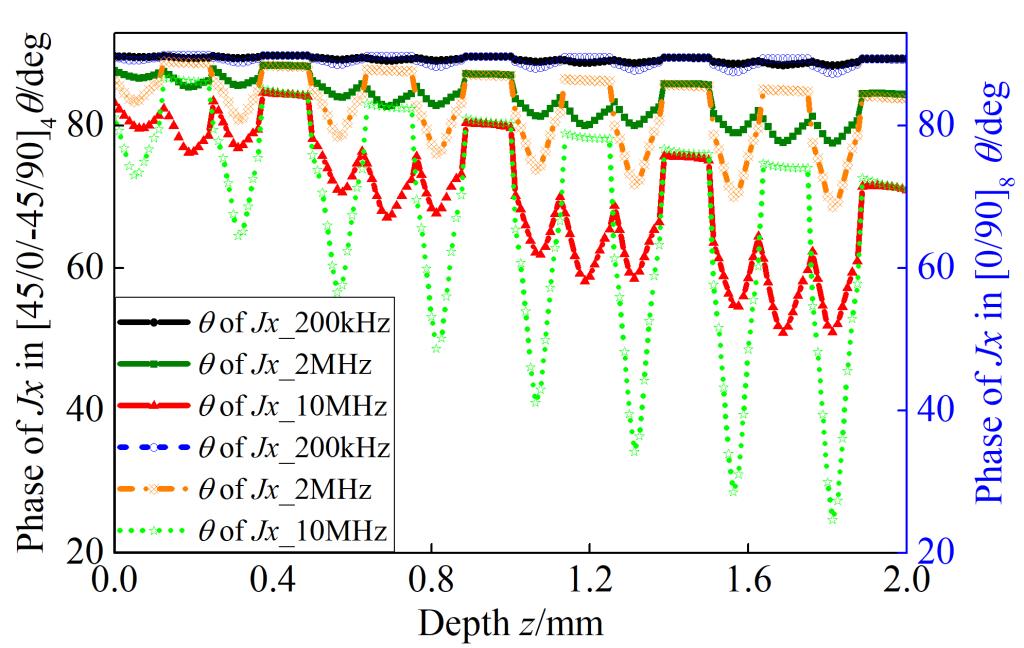
(不同的铺层顺序(左)、激励源形状与电各向异性(中)和激励频率(右)下电磁场量的分布情况)
“十四五”国家战略性新兴产业发展规划指出,高性能纤维及其复合材料是提升制造业的核心竞争力。作为碳化纤维和树脂基体的完美结合体,碳纤维增强树脂基复合材料(Carbon fiber reinforced polymer, CFRP)兼具轻质高强、耐腐蚀和易设计等一系列优点,已被广泛用于航空航天、能源装备和汽车工业等关键技术领域。为保障CFRP构件在各领域使用的安全性和可靠性,针对这种新型材料的无损检测(Non-destructive Testing, NDT)需求日益迫切。
为满足CFRP损伤涡流检测的应用需求,本研究探索了电磁场在多层CFRP板结构中的传播、衰减与扩散特性,解决了多层导电介质交界面处的场量突变问题。研究结果表明,材料的电各向异性是电磁场快速衰减的关键因素,由波印廷定理知强电各向异性造成更多的能量损耗,使得电磁场的衰减特性与频率无关。铺层变化是影响电磁场衰减与扩散的又一重要因素,电磁场的衰减与扩散和相邻铺层角度差呈反比。从入射场角度看,激励源形状是影响电磁场传播特性的另一重要因素,电磁场的衰减与扩散和激励源形状呈反比。该研究结果为定量检测与评估CFRP结构深处缺陷奠定了理论基础,同时为涡流检测探头的设计/优化提供了理论依据。
论文连接:https://doi.org/10.1016/j.compstruct.2022.116378
(撰稿:罗进 审核:沈浩 王兵 张苒 杜飞)